• Front szkoły

  • Szkoła bokiem

  • Hala

  • Tył szkoły

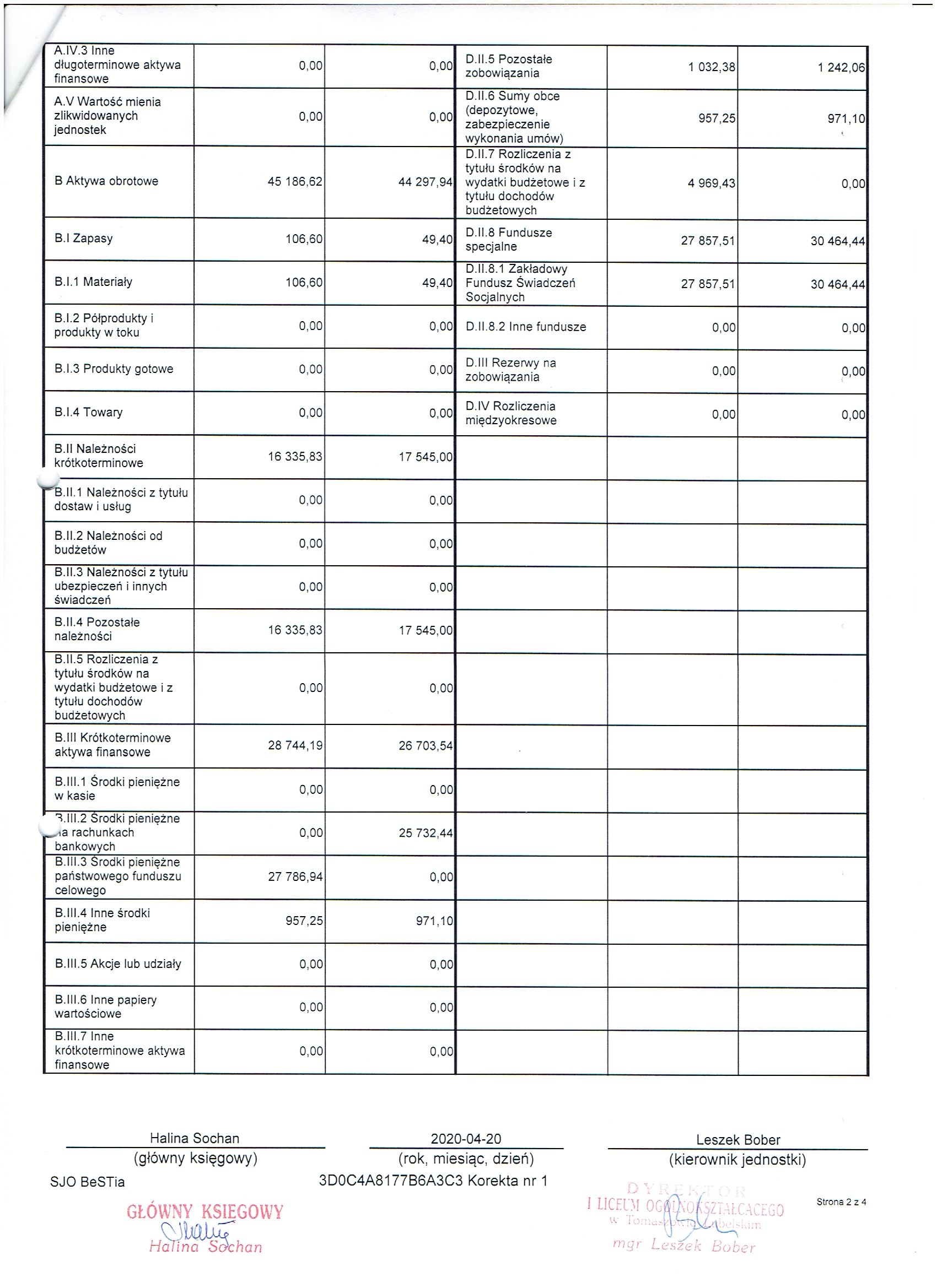
Załączniki 1: Bilans jednostki budżetowej i samorządowego zakładu budżetowego sporządzony na dzień 31-12-2019

                   strona 1, strona 2, strona 3, strona 4

Załącznik 2: Rachunek zysków i strat (wariant porównawczy)

                   strona 1, strona 2, strona 3

Załącznik 3: Zestawienie zmian w funduszu jednostki

                   strona 1, strona 2, strona 3

Załącznik 4: Informacja dodatkowa

                   strona 1, strona 2

Załącznik 5: Dane do informacji dodatkowej 

                  strona 1, strona 2

 

 Informacje utworzyła: Halina Sochan